수학(상) > 도형의 방정식 > 원의 방정식을 일반형에서 표준형으로 변형하기 연습문제 프린트 학습
원의 방정식의 일반형

일반형은 x, y 에 대한 이차식입니다. 일반형을 표준형으로 변형하는 이유는 원의 중심과 반지름을 알아보기 쉽게 만들기 위해서예요.
원의 방정식의 표준형

원의 중심이 (a,b)이고 반지름이 r인 원의 방정식입니다. 일반형을 표준형으로 만드는 방법은 완전제곱식을 만드는거에요.
문제를 함께 풀면서 알아보겠습니다.

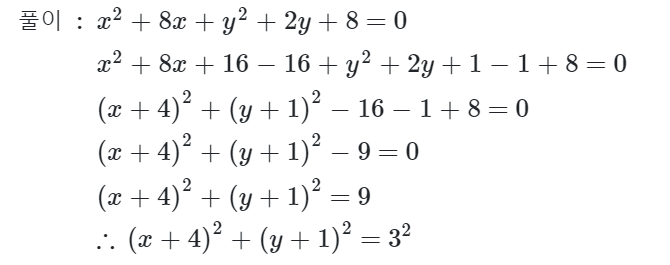
이 문제에서 x에 관한 완전제곱식, y에 관한 완전제곱식을 각각 완성하고 나머지 상수들은 우변으로 이항을 시키면 됩니다.
아래는 풀이입니다.

지금까지 원의 방정식의 일반형을 표준형으로 바꾸는 이유와 방법에 대해서 살펴보았는데요,
아래는 원의 방정식의 표준형을 만드는 문제를 만들어주는 사이트 '모두매쓰' 링크입니다.
충분히 연습하셔서 식에 더 익숙해길 바랍니다.
수학(상) > 도형의 방정식 > 원의 방정식을 일반형에서 표준형으로 변형하기 연습문제 프린트 학습
'고등 수학 프린트' 카테고리의 다른 글
| 고등 수학II > 도함수의 활용 > 곡선 위의 한 점이 주어질 때, 접선의 방정식 구하기 연습문제 프린트 학습지 (0) | 2024.07.11 |
|---|---|
| 고등 수학I > 삼각함수 > 호도법을 육십분법으로 바꾸기, 육십분법을 호도법으로 바꾸기 연습문제 프린트 학습지 (0) | 2024.07.08 |
| 고등 수학(하) > 함수 > 두 일차함수 f(x), g(x)의 합성함수 g(f(x)) 또는 f(g(x)) 식 구하기 연습문제 프린트 학습 (0) | 2024.07.08 |
| 수학(하) > 집합과 명제 > 두 집합 A, B이 서로소일 때, 집합 B 구하기 연습문제 프린트 학습지 (0) | 2024.07.08 |
| 수학 (상) > 복소수 > 복소수의 실수부분, 허수부분 구하기 연습문제 프린트 학습지 (0) | 2024.06.20 |


